개발 공부가 시험 공부는 아니지만

  • 홈
  • 태그
  • 방명록

relevancy 1

엘라스틱 서치에서의 유사도 점수 (Score)

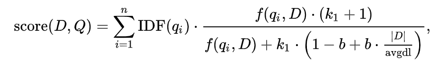
스코어 (score) 점수 : 검색된 결과가 검색 조건과 얼마나 일치하는지를 점수로 계산하여 response로 보내준다. - 쿼리와 관련이 높은 검색결과(도큐먼트)일수록 더 높은 점수를 받는다. - 높은 점수일수록 우리가 원하는 검색결과일 가능성이 크다. 계산방법 - BM(Best Matching)25라는 알고리즘을 사용해서 점수를 계산한다. 해당 알고리즘에는 총 3가지의 구성 요소가 있다. 1. TF (Term Frequency) : 검색하려는 특정 용어가 하나의 도큐먼트에 얼마나 많이 등장했는가? 중요한 건 하나의 도큐먼트(문서)에서 검색하려는 용어가 얼마나 많이 등장했냐는 것이다. 예를 들어, "쥬라기 공원"이라는 용어를 검색했을 때, "쥬라기 공원"이라는 단어가 5번 들어 있는 웹 페이지 보다는 ..

Elastic Search 2023.02.13
이전
1
다음
더보기
프로필사진

개발 공부가 시험 공부는 아니지만

  • 분류 전체보기 (45)
    • JPA (3)
    • java (2)
    • c언어 (8)
    • 컴퓨터 구조 (9)
    • Elastic Search (2)
    • 네트워크 (1)
    • 시스템 프로그래밍 (1)
    • Spring (2)
    • 데이터베이스 (0)
    • 프로그래밍 언어 (0)
    • Swagger (1)
    • Auth (2)
    • HTTP (2)
    • 외부 API 사용 (2)
    • Real MySQL (1)
    • 클러버 (7)
    • Docker (1)
    • 업무 회고 (1)

Tag

Elastic Search, 컴파일러 #gcc #오브젝트 파일, @Builder, Dall-e #이미지 생성 #API #달리 #open ai, JWT, jjwt, @Entity, c언어 #비트 #비트 필드, status code, 토큰, JSON Web Token, 역인덱싱, enum, swagger #OpenAPI #OpenApiFilter #Spring, 참조타입, 기본타입, wrapper클래스, relevancy, JPA, 전문통신,

최근글과 인기글

  • 최근글
  • 인기글

최근댓글

공지사항

페이스북 트위터 플러그인

  • Facebook
  • Twitter

Archives

Calendar

«   2026/01   »
일 월 화 수 목 금 토
1 2 3
4 5 6 7 8 9 10
11 12 13 14 15 16 17
18 19 20 21 22 23 24
25 26 27 28 29 30 31

방문자수Total

  • Today :
  • Yesterday :

Copyright © AXZ Corp. All rights reserved.

티스토리툴바